The role of PQQ in improving cognition
Pyrroloquinoline Quinone disodium salt (PQQ) is widely distributed in animals, plants and microorganisms. It is a coenzyme that plays an important role in oxidation and reduction. It is one of the "star" nutrients that has attracted widespread attention in recent years. China respectively PQQ produced by synthesis and fermentation will be approved as a new food raw material in 2022 and 2023.
Japanese researchers recently published a research paper in the magazine "Food & Function", which introduced the research results on the cognitive improvement effect of PQQ on young and elderly people in Japan.
This study was a double-blind placebo randomized controlled trial that included 62 healthy Japanese men aged 20-65 years with Mini-Mental State Scale scores ≥24 who maintained their original lifestyle during the study period. Female crowd. The research subjects were randomly divided into an intervention group and a placebo control group, and were orally administered PQQ (20 mg/d) or placebo capsules every day for 12 weeks. An online testing system developed by a company was used for identification at weeks 0/8/12.
The cognitive test assesses the following 15 brain functions: compound memory, verbal memory, visual memory, psychomotor speed, reaction time, complex attention, cognitive flexibility, processing speed, execution speed, social acuity, reasoning, working memory, Sustained attention, simple attention and movement speed were divided into all groups (20-65 years old, intervention group n=31, control group n=31), elderly group (41-65 years old, intervention group n=15, control group n =18) and young people (20-40 years old, intervention group n=16, control group n=13) were statistically analyzed and compared without stratification by gender.
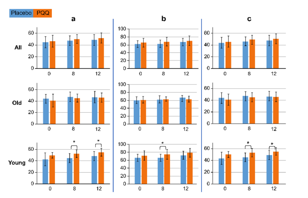
The results showed that compared with the placebo control group, after 12 weeks of PQQ intake, the composite memory and verbal memory scores of all groups and the elderly group increased (Figure 1); after 8 weeks of PQQ intake, the cognitive flexibility of the young group increased. processing speed and execution speed scores increased (Figure 2).

Figure 1 Composite memory and verbal memory scores in the placebo control group and PQQ group
(a and b represent composite memory and verbal memory scores respectively)

Figure 2 Characteristic cognitive function scores of the placebo control group and PQQ group
(a, b, and c represent cognitive flexibility, processing speed, and execution speed scores respectively)
There have been many research reports revealing the various health effects of PQQ, among which PQQ’s role in improving cognition has received particular attention. With the increase in PQQ research, it is believed that PQQ will have broader application scenarios.
Reference: TAMAKOSHI M, SUZUKI T, NISHIHARA E, et al. Pyrroloquinoline quinone disodium salt improves brain function in both younger and older adults [J]. Food & Function, 2023, 14(5): 2496-501.
doi: 10.1039/d2fo01515c.
*Special note - This article is for informational purposes only and cannot replace a doctor's treatment diagnosis and advice. It should not be regarded as a recommendation or proof of efficacy of the medical products involved. If it involves disease diagnosis, treatment, and rehabilitation, please be sure to go to a professional medical institution to seek professional advice.
PREVIOUS: The relationship between NAD+ and aging
NEXT: How should NMN be eaten?
by GSHWORLD
GSHWORLD is China Biological API Manufacturer. China PQQ Supplements powder suppliers & best PQQ benefits raw material Factory.




